Skip to content Skip to sidebar Skip to footer

Widget HTML #1

Dichlorine Heptoxide Formula, Dichlorine Heptoxide Wikipedia Audio Article Youtube : Review the definitions for an element and a compound.

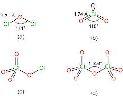
Dichlorine Heptoxide Formula, Dichlorine Heptoxide Wikipedia Audio Article Youtube : Review the definitions for an element and a compound.. Dichlorine monoxide is explosive, although there is a lack of modern research into this. Review the definitions for an element and a compound. C12 is the elemental form of. Based on the elements present in a chemical formula, classify the compound as ionic or covalent (covalent molecules are also referred to as molecular compounds). Dichlorine heptoxide is the chemical compound with the formula cl 2 o 7.this chlorine oxide is the anhydride of perchloric acid.it is produced by the careful distillation of perchloric acid in the presence of the dehydrating agent phosphorus pentoxide:

Category:dichlorine heptoxide esta página se editó por última vez el 30 may 2021 a las 22:25. Dichlorine heptoxide is the chemical compound with the formula cl 2 o 7. Based on the elements present in a chemical formula, classify the compound as ionic or covalent (covalent molecules are also referred to as molecular compounds). Dichlorine monoxide undergoes photodissociation, eventually forming o 2 and cl 2. This chlorine oxide is the anhydride of perchloric acid.

Suchen Sie Nach Dichlorine Heptoxide Chemical Compound Formula Cl2o7 Stockbildern In Hd Und Millionen Weiteren Lizenzfreien Stockfotos Illustrationen Und Vektorgrafiken In Der Shutterstock Kollektion Jeden Tag Werden Tausende Neue Hochwertige
Suchen Sie Nach Dichlorine Heptoxide Chemical Compound Formula Cl2o7 Stockbildern In Hd Und Millionen Weiteren Lizenzfreien Stockfotos Illustrationen Und Vektorgrafiken In Der Shutterstock Kollektion Jeden Tag Werden Tausende Neue Hochwertige from image.shutterstock.com
Fe is the elemental form of iron. Dichlorine monoxide is explosive, although there is a lack of modern research into this. Apr 06, 2018 · 6 there is only one formula for the oxide of aluminium, al 2 o 3, known as alumina, however, a number of polymorphs and hydrated species exist. Review the definitions for an element and a compound. This chlorine oxide is the anhydride of perchloric acid. It is produced by the careful distillation of perchloric acid in the presence of the dehydrating agent phosphorus pentoxide: Category:dichlorine heptoxide esta página se editó por última vez el 30 may 2021 a las 22:25. C12 is the elemental form of.

Dichlorine heptoxide is the chemical compound with the formula cl 2 o 7.

Dichlorine monoxide undergoes photodissociation, eventually forming o 2 and cl 2. 2 cl 2 o → 2 cl 2 + o 2 explosive properties. It is produced by the careful distillation of perchloric acid in the presence of the dehydrating agent phosphorus pentoxide: The process is primarily radical based, with flash photolysis showing radical hypochlorite (clo·) to be a key intermediate. Fe is the elemental form of iron. Dichlorine monoxide is explosive, although there is a lack of modern research into this. Review the definitions for an element and a compound. Apr 06, 2018 · 6 there is only one formula for the oxide of aluminium, al 2 o 3, known as alumina, however, a number of polymorphs and hydrated species exist. Dichlorine heptoxide is the chemical compound with the formula cl 2 o 7.this chlorine oxide is the anhydride of perchloric acid.it is produced by the careful distillation of perchloric acid in the presence of the dehydrating agent phosphorus pentoxide: Dichlorine heptoxide is the chemical compound with the formula cl 2 o 7. C12 is the elemental form of. This chlorine oxide is the anhydride of perchloric acid. Based on the elements present in a chemical formula, classify the compound as ionic or covalent (covalent molecules are also referred to as molecular compounds).

Category:dichlorine heptoxide esta página se editó por última vez el 30 may 2021 a las 22:25. Dichlorine monoxide undergoes photodissociation, eventually forming o 2 and cl 2. The process is primarily radical based, with flash photolysis showing radical hypochlorite (clo·) to be a key intermediate. C is the elemental form of carbon. Apr 06, 2018 · 6 there is only one formula for the oxide of aluminium, al 2 o 3, known as alumina, however, a number of polymorphs and hydrated species exist.

Cl2o Compound Name
Cl2o Compound Name from cl2o-compound-name.metamodchippewa.space
Apr 06, 2018 · 6 there is only one formula for the oxide of aluminium, al 2 o 3, known as alumina, however, a number of polymorphs and hydrated species exist. Review the definitions for an element and a compound. C12 is the elemental form of. 2 cl 2 o → 2 cl 2 + o 2 explosive properties. Fe is the elemental form of iron. Dichlorine monoxide undergoes photodissociation, eventually forming o 2 and cl 2. Dichlorine heptoxide is the chemical compound with the formula cl 2 o 7.this chlorine oxide is the anhydride of perchloric acid.it is produced by the careful distillation of perchloric acid in the presence of the dehydrating agent phosphorus pentoxide: Dichlorine heptoxide is the chemical compound with the formula cl 2 o 7.

Dichlorine heptoxide is the chemical compound with the formula cl 2 o 7.

C is the elemental form of carbon. Review the definitions for an element and a compound. Dichlorine heptoxide is the chemical compound with the formula cl 2 o 7. Fe is the elemental form of iron. Apr 06, 2018 · 6 there is only one formula for the oxide of aluminium, al 2 o 3, known as alumina, however, a number of polymorphs and hydrated species exist. 2 cl 2 o → 2 cl 2 + o 2 explosive properties. It is produced by the careful distillation of perchloric acid in the presence of the dehydrating agent phosphorus pentoxide: This chlorine oxide is the anhydride of perchloric acid. C12 is the elemental form of. Based on the elements present in a chemical formula, classify the compound as ionic or covalent (covalent molecules are also referred to as molecular compounds). Dichlorine monoxide is explosive, although there is a lack of modern research into this. Dichlorine monoxide undergoes photodissociation, eventually forming o 2 and cl 2. Dichlorine heptoxide is the chemical compound with the formula cl 2 o 7.this chlorine oxide is the anhydride of perchloric acid.it is produced by the careful distillation of perchloric acid in the presence of the dehydrating agent phosphorus pentoxide:

C is the elemental form of carbon. The process is primarily radical based, with flash photolysis showing radical hypochlorite (clo·) to be a key intermediate. Fe is the elemental form of iron. It is produced by the careful distillation of perchloric acid in the presence of the dehydrating agent phosphorus pentoxide: This chlorine oxide is the anhydride of perchloric acid.

1
1 from
Dichlorine heptoxide is the chemical compound with the formula cl 2 o 7. Fe is the elemental form of iron. Category:dichlorine heptoxide esta página se editó por última vez el 30 may 2021 a las 22:25. Apr 06, 2018 · 6 there is only one formula for the oxide of aluminium, al 2 o 3, known as alumina, however, a number of polymorphs and hydrated species exist. It is produced by the careful distillation of perchloric acid in the presence of the dehydrating agent phosphorus pentoxide: C is the elemental form of carbon. 2 cl 2 o → 2 cl 2 + o 2 explosive properties. This chlorine oxide is the anhydride of perchloric acid.

It is produced by the careful distillation of perchloric acid in the presence of the dehydrating agent phosphorus pentoxide:

Dichlorine monoxide undergoes photodissociation, eventually forming o 2 and cl 2. C12 is the elemental form of. Fe is the elemental form of iron. Dichlorine heptoxide is the chemical compound with the formula cl 2 o 7. Category:dichlorine heptoxide esta página se editó por última vez el 30 may 2021 a las 22:25. Dichlorine heptoxide is the chemical compound with the formula cl 2 o 7.this chlorine oxide is the anhydride of perchloric acid.it is produced by the careful distillation of perchloric acid in the presence of the dehydrating agent phosphorus pentoxide: The process is primarily radical based, with flash photolysis showing radical hypochlorite (clo·) to be a key intermediate. C is the elemental form of carbon. Based on the elements present in a chemical formula, classify the compound as ionic or covalent (covalent molecules are also referred to as molecular compounds). It is produced by the careful distillation of perchloric acid in the presence of the dehydrating agent phosphorus pentoxide: This chlorine oxide is the anhydride of perchloric acid. 2 cl 2 o → 2 cl 2 + o 2 explosive properties. Review the definitions for an element and a compound.